18道题
| 文物 |
|
|
| 选项 | A.宫门青铜兽首(战国) | B.彩绘石质浮雕(五代) |
| 文物 |
|
|
| 选项 | C.丝路陶瓷 | D.南都繁会图(绢本) |
| A.A | B.B | C.C | D.D |

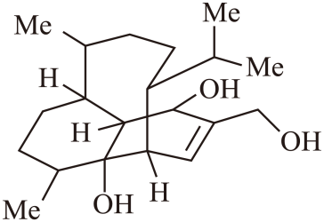
| A.该有机物中C的杂化方式有sp2、 sp3 |
| B.化学研究不仅能认识分子,还能制造分子 |
| C.由碳、氢、氧元素中的两种元素组成的化合物只有3种 |
| D.利用X射线衍射仪、核磁共振仪、质谱仪可以分析 |

| A.常温下苯甲酸呈液态 |
| B.操作Ⅱ趁热过滤的目的是除去泥沙和NaCl |
| C.操作Ⅲ缓慢冷却可形成大颗粒晶体,减少对杂质包裹 |
| D.操作Ⅳ可用热水洗涤晶体 |

| A.先通入氧气,再先后点燃a、b处煤气灯 |
| B. |
| C.若撤去 |
| D.该有机物的分子式为 |

| A.该有机物中含有3种官能团 |
| B.该有机物中含有1个手性碳原子 |
| C.该有机物存在属于芳香族的同分异构体 |
| D.该有机物的分子式为 |

| A. | B. |
| C. | D.M具有对映异构体 |