返回
试卷库
🔍
8.1数学广角——找次品课后作业(基础)
全国
精品
2025
10
道题
点我获取可打印试卷
一、选择题
1
在一批外表相同的零件里混入了一个次品(次品重一些),如果能用天平称量的方法找这个次品,最好的方法是先把这批零件平均分成(
)份,然后再称。
A.2
B.3
C.4
D.5
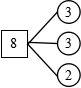
2
8个乒乓球,其中一件略轻些,用天平称出次品时,(
)种分法比较合理。
A.
B.
C.
D.
3
有5个外观相同的球,其中有一个是次品,比其它球要轻些,从图中推断(
)号球是次品球。
A.5
B.4
C.3
D.2
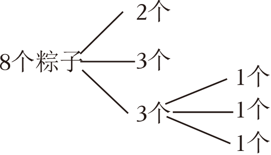
4
某品牌在售的散装粽子中,一个肉粽重140克,一个红枣粽重100克,奇奇购买的8个粽子里,只有一个肉粽,其余都是红枣粽。他想用天平称一称,用最少的次数保证找出这个肉粽,那么最合适的称重分组方法是(
)。
A.
B.
C.
D.
二、填空题
1
有
3
盒糖,其中
1
盒被小丽吃了
2
颗,你能设法把它找出来吗?
①
是
________
,②
是
________
,
需要称
________
次.
三、解答题
1
有10瓶钙片,其中一瓶少了3片,用天平称,至少称几次能确保找出少了3片的那一瓶?请你设计一个方案。
点我获取可打印试卷